See the answer Verify the identity!!Show that the identity 1\tan ^{2} \theta=\sec ^{2} \theta follows from \sin ^{2} \theta\cos ^{2} \theta=1 Join our free STEM summer bootcamps taught by experts Space is limitedMar 25, 21 · The second and third identities can be obtained by manipulating the first The identity \(1{\cot}^2 \theta={\csc}^2 \theta\) is found by rewriting the left side of the equation in terms of sine and cosine
Trig Limit Using Pythagorean Identity Video Khan Academy
1 tan^2 theta/1 cot^2 theta=(1-tan theta/1-cot theta)^2
1 tan^2 theta/1 cot^2 theta=(1-tan theta/1-cot theta)^2-Free math problem solver answers your algebra, geometry, trigonometry, calculus, and statistics homework questions with stepbystep explanations, just like a math tutorFeb 07, 18 · tan2θ = sin2θ cos2θ sin2θ cos2θ = 1 cos(2θ) = cos2θ − sin2θ Now here's the actual proof 1 − tan2θ 1 tan2θ = cos(2θ) − sin2θ cos2θ 1 sin2θ cos2θ 1 = cos(2θ) −sin2θcos2θ cos2θ sin2θcos2θ cos2θ = cos(2θ) −sin2θ cos2θ sin2θ cos2θ = cos(2θ) −sin2θ cos2θ = cos(2θ)


Solved Cot 2 Theta Tan 2 Theta Sec 2 Theta Csc2 Theta Chegg Com
Nov 09, · Sine, tangent, cotangent and cosecant in mathematics an identity is an equation that is always true Meanwhile trigonometric identities are equations that involve trigonometric functions that are always trueProve the trig problem by making the left side equal to the right secant theta 1 * secant theta 1Apr 10, 14 · (1tan^2 theta)(11/tan^2 theta) = (1/sin^2 theta sin^4 theta) Maths Exponents of Real Numbers
`Cos^2 Theta /((1 Tan Theta)) Sin ^3 Theta/((Sin Theta Cos Theta))=(1Sin Theta Cos Theta)` CBSE CBSE (English Medium) Class 10 Question Papers 6 Textbook Solutions Important Solutions 3111 Question Bank Solutions 334 Concept Notes &I need to prove that $\frac{1\tan^2\theta}{1\cot^2\theta}= \tan^2\theta$ I know that $1\tan^2\theta=\sec^2\theta$ and that $1\cot^2\theta=\csc^2\theta$, making it now $$\frac{\sec^2\theta}{\csc^2\theta,}$$ but I don't know how to get it down to $ \tan^2\theta$Prove the Following Trigonometric Identities (1 Tan^2 Theta)/(1 Cot^2 Theta) = ((1 Tan Theta)/(1 Cot Theta))^2 = Tan^2 Theta 0 CBSE CBSE (English Medium) Class 10
Answer to The expression \dfrac{(1\sin \theta)\cot^2 \theta \tan^2 \theta}{\cos^2 \theta} simplifies to a \frac{1}{1\sin \theta} b \frac{\tanProve each of the following identities ` (tan theta)/((1cot theta)) (cot theta)/((1 tan theta)) = (1 sec theta \"cosec\" theta) `SolutionShow Solution LHS= ` (1tan^2theta) (1cot^2 theta)` =`sec^2 theta cosec^2 theta (∵ sec^2 theta tan^2 theta=1 and cosec^2 cot^2 theta =1)` =`1/ (cos^2 theta sin^theta)` =` 1/ ( (1sin^2 theta ) sin^2 theta` =`1/ (sin^2thetasin^4theta)` ==RHS


Prove That 1 Cot Theta Cosec Theta 1 Tan Theta Sec Theta 2 Youtube


What Is Cot Theta 1
Jul 16, 18 · How do you apply the fundamental identities to values of #theta# and show that they are true?We have to prove `((1 cot^2 theta) tan theta)/sec^2 theta = cot theta` We know that, `sec^2 theta tan^2 theta = 1` So `((1 cot^2 theta)tan theta)/sec^2 thetaOct 17, 18 · Beautiful blogs on basic concepts and formulas of mathematics, maths assignments for board classes, maths study material for 8th, 9th, 10th, 11th, 12th classes lesson plan for 10th and 12th, maths riddles and maths magic,


Rd Sharma Solutions For Class 10 Chapter 6 Trigonometric Identities Exercise 6 1 Get Pdf


Solved Verify That Each Equation Is An Identity 1 Tan T Chegg Com
May 25, 18 · prove that 1 tan^2 theta /1cot^2 theta= 1 tan theta / 1 cot theta ^2 Brainlyin Chirayugaur Chirayugaur MathQuestion Establish The Identify 1 Cot^2 Theta/1 Cot^2 Theta 1 = 2 Sin^2 Theta Which Of The Following Statements Establishes The Identity?Feb 14, 18 · Prove that (1tan2 θ)/(1cot2 θ)(1tan θ)/cot θ2tan2 θ Prove that (1tan2 theta)/(1cot2 theta)(1tan theta)/cot theta2tan2 theta


Prove That 1 Sec Theta Tan Theta 2 1 Cot Theta Cute766


1 Cot Theta Cosec Theta 1 Tan Theta Sec Theta 2 Brainly In
Jun 01, 16 · It simplifies to 1 We'll use a couple of trig identities to solve this sin^2thetacos^2theta=1 1cot^2theta=csc^2theta We can substitute csc^2theta directly into the second term but need to do a bit of math to get the substitution for the first term sin^2thetacos^2theta=1 sin^2theta=1cos^2theta Now let's substitute (1cos^2theta)(1cot^2theta) (sin^2theta)(csc^2theta) The relationship between sin and csc is csc = 1/sin thus csc^2theta=1/sin^2theta and so (sin^2theta)(1/sin^2theta)=1Answer to 1tan(theta)/tan(theta) 1cos^2(theta)/1tan^2(theta) sec theta cos theta (sec theta cos theta (sec theta csc th𝐿𝐻𝑆 = `(tan theta)/(1tan^2 theta )^2 ( cot theta )/(1cot^2 theta)^2` =`tan theta/ ((sec^2 theta)^2) cot theta/((cosec^2 theta) ^2)`


Prove That Cot Theta 1 Tan Theta Cot Theta 2 Sec 2 Theta Maths Some Applications Of Trigonometry Meritnation Com


Prove Each Of The Following Identities Tan Theta 1 Cot Theta Cot Theta 1 Tan Theta Youtube
Free math problem solver answers your algebra, geometry, trigonometry, calculus, and statistics homework questions with stepbystep explanations, just like a math tutorAnswer to Establish the identity 1 tan^2 theta/1 tan^2 theta 1 = 2 cos^2 theta Which of the following statements establishe Skip Navigation Chegg homeQuestion Sin 2 Theta = 2 Tan Theta/1 Tan^2 Theta Cot Theta Tan Theta = 2 Cos^2 Theta 1/sin Theta Cos Theta Sin(x Y)/cos(x Y) = Cot X Cos Y/1 Cot X Cot Y This problem has been solved!


Solution Simplify The Equation Sin 28 1 Cot 2 8


10th Tan Theta 1 Cot Theta Cot Theta 1 Tan Theta 1 Sec Theta Cosec Theta Youtube
Jul 02, 19 · Recall that , so we can write everything in terms of Let , so that With some rewriting we get Clearly we cannot have , or The numerator determines when the expression on the left reduces to 0 Completing the square givesJun 24, 15 · Your attempt to solve the problem by replacing $1$ by $\csc^2\theta \cot^2\theta$ was a good idea Since $\cot\theta$ is an odd function, $\cot(\theta) = \cot\thetaApr 01, · $$\\tan^{2}(\\theta) 1 = \\sec^{2}(\\theta)$$ and $$\\cot^{2}(\\theta) 1 = \\csc^{2}(\\theta)$$ are trigonometric identities?????


Fmagdmgxo1g2pm


Prove That Tan 2 2theta Tan 2 Theta 1 Tan 2 2theta Tan 2 Theta Tan 3theta Tan Theta Youtube
Prove the following trigonometric identity $$1 \tan^2\theta = \sec^2\theta$$ I'm curious to know of the different ways of proving this depending on different characterizations of tangent and seShare It On Facebook Twitter Email 1 Answer 0 votes answered Feb 15, 18 by Vikash KumarMay 25, 21 · cosec^{2} Theta cot^{2} Theta = 1 বা, cosec^{2} Theta = 1cot^{2} Theta বা, cot^{2} Theta = cosec^{2} Theta 1 Part 5 ↓অনুপাত / কোণ→


What Is The Value Of 1 Cot Theta Cosec Theta 1 Tan Theta Sec Theta Quora


Prove That Tan Theta Cot Theta 2 Sin2 Theta Son Theta Cos Theta 1 2 Cos2 Theta Maths Introduction To Trigonometry Meritnation Com
Click here👆to get an answer to your question ️ If tan theta cot theta = 2, find the value of tan^2 theta cot^2 theta Join / Login mathsHow do you use the fundamental identitiesProve that `(tan theta)/(1 cot theta) (cot theta)/(1 tan theta) = 1 cos theta cosec theta`


If Tan Theta Sec Theta 2 Then What Is Tan Theta Is Equal To Quora


Prove That 1 Tan 2 Theta 1 Cot 2 Theta 1 Tan Theta 1 Cot Theta 2 Brainly In
Apr 24, 14 · cos theta/cosec theta1cos theta /cosec theta1=2 tan theta Math Trigonometric IdentitiesFree math problem solver answers your algebra, geometry, trigonometry, calculus, and statistics homework questions with stepbystep explanations, just like a math tutorShow transcribed image text Expert Answer 100% (1


1 1 Tan 2 Theta 1 1 Cot 2 Theta 1 Sin 2 Theta Sin 4 Theta Brainly In


1 Tan Theta Sec Theta 0 Cot Theta Csc Theta Rightarrow
The value of \( \Large \left(\frac{1}{(1tan^{2} \theta )}\frac{1}{(1cot^{2} \theta )}\right) \) isSimplify (1cot(theta))(1cot(theta))csc(theta)^2 Simplify terms Tap for more steps Simplify each term Tap for more steps Expand using the FOIL Method Tap for more steps Apply the distributive property Apply the distributive property Apply the distributive propertyAs 1st equation is not true for


What Is The Answer Of Math Frac Tan Theta 1 Cot Theta Frac Cot Theta 1 Tan Theta Math Quora


Rd Sharma Solutions For Class 10 Chapter 6 Trigonometric Identities Exercise 6 1 Get Pdf
1 Cot^2 Theta/1 Cot^2 Theta 1 = 1 Cot^2 Theta 1 Tan^2 Theta/1 Cot^2 Theta = 2/csc^2 Theta = 2 Middot 1/csc^2 Theta = 2 Sin^2 ThetaFeb 15, 18 · Prove that tan 3 theta /(1tan 2 theta)cot 3 theta /(1cot 2 theta)=sec theta cosec theta2sin theta cos theta trigonometry;On adding two fractions ^@ \begin{align} & \mathrm{cosec}^2 \theta \left( \dfrac{ \cos\theta 1 } { 1 \mathrm{cosec} \theta } \right) \tan^2 \theta \left


Solved 1 Tan 2 Theta 1 Cot 2theta 1 Sec 2theta Ve Chegg Com


Solved Establish The Identity 1 Tan 2 Theta 1 Tan 2 Chegg Com
{eq}\cos 2\theta= \frac{\cot^2\theta 1}{1 \cot^2\theta} {/eq} Proving Trigonometric Identities A trigonometric identity is an equation in terms of trigonometric equations that is true for all$$\frac{\tan\theta}{1\cot\theta}\frac{\cot\theta}{1\tan\theta}$$ $$=\frac{\tan^2\theta}{\tan\theta1}\frac{\cot\theta}{1\tan\theta}(\text{ multiplying the firstAnswer to cot^2(theta)(1tan^2)(theta) I came up with (cot^2(theta)(sec^2)(theta) cos^2(theta)/sin^2(theta) * (1/cos


Prove 1 Tan 2theta 1 Cot 2theta 1 Tantheta 1 Cottheta 2


Solved Sec 4 Theta Tan 4 Theta Sec 2 Theta Ta Chegg Com


Prove That Cot Theta 1 Tan Theta Cot Theta 1 2 Sec 2 Theta Brainly In


Questions And Answers Cbse Icse Solutions Cbse Icse Study Materials Online Learning Question Papers Classnotes Practice Test Mcq


Q Prove Tan 3a A 8 1 Tan28 Cot38 1 Cot28 Sec 8 Cosec 8 Maths Introduction To Trigonometry Meritnation Com


Solved Cot 2 Theta Tan 2 Theta Sec 2 Theta Csc2 Theta Chegg Com


Prove That Sin 8 1 Tan 8 Cos 8 1 Cot 8 Sec 8 Cosec 8


Tangent Half Angle Formula Wikipedia


If Tan 8 1 2 And Tan ϕ 1 3 Then The Value Of 8 ϕ Is Studyrankersonline


Prove That Sec Theta Tan Theta 1 Sec Theta Tan Theta 1 Tan Pi 4 Theta 2


Solved 1 Tan Theta 1 Cot Theta Sin Theta Cos Theta Chegg Com


Prove That Frac Tan Theta 1 Cot Theta Frac Cot Theta 1 Tan Theta 1 Mathit Sec Theta Cosec Theta Orif Mathit Sec Theta X Frac 1 4x Then Prove That Mathit Sec Theta Tan Theta 2x Or Frac 1 2x Snapsolve


Prove That I 1 1 Tan 2 Theta 1 1 Cot 2 Theta


Trig Limit Using Pythagorean Identity Video Khan Academy


Prove That 1 1 Tan 2 Theta 1 1 Cot 2 Theta 1


If Tan Theta Cot Theta 2 Then What Is The Value Of Tan Squared Theta Cot Squared Theta Equal To Quora


Trigonometric Identities List Of Trigonometric Identities Examples


Tan Theta 1 Cot Theta Cot Theta 1 Tan Theta 1 Tan Theta Cot Theta Prove It Equal Brainly In


Sec Theta Cosec Theta 1 Tan Theta Cot Theta Sec Theta Tan Theta Cosec Theta Cot Theta Edurev Class 10 Question


Prove If Tan 3 Theta 1 Tan 2 Theta Cot 3 Theta 1 Cot 2 Theta Sec Theta Cosec Theta 2 Sin Theta Cos Theta Edurev Class 10 Question


Tan Theta 1 Cot Theta Cot Theta Divided By 1 Minus 10 Theta Equal To 1 Secant Theta Into Cos Youtube


Prove That Tan 8 1 Cot 8 Cot 8 1 Tan 8 Sarthaks Econnect Largest Online Education Community


1 1 Tan Theta 1 Cot Theta 2 Sec 2 Mathematics Topperlearning Com Ggw6mtpp


What Is Cot Theta


Bysyyapnuctm5m


1 Tan Theta 1 Cot Theta Tan Theta Brainly In


Prove That Tan 8 1 Cot 8 Cot 8 1 Tan 8 1 Tan8 Cot 8 Studyrankersonline


Find The Value Of Frac 1 Tan Theta Frac Sin Theta 1 Cos Theta If 1 Cot 2 Theta Left Sqrt 3 2 Sqrt 2 1 Right 2 A Sqrt 2 B 3 C 2 D 1 Snapsolve


Prove That Cot 8 Tan 8 2 Cos 2 8 1 Sin 8 Cos 8


Solution 1 Amp Tan Amp 2 Amp 952 1 Amp Cot Amp 2 Amp 952 1 Tan A 1 Cot A 2


1 Tan 2theta 1 Cot 2theta 1 Tan Theta 1 Cot Theta 2 Tan 2 Theta Brainly In


Solved Prove The Following A 1 Sin Theta Sin Theta Chegg Com


Tan Theta 1 Tan 2 Theta 2 Cot Theta 1 Cot 2 Theta 2 Sin Theta Cos Theta Brainly In


1 Tan Theta 2 1 Cot Theta 2 Sec Theta Cosec Theta 2 Prove It Brainly In


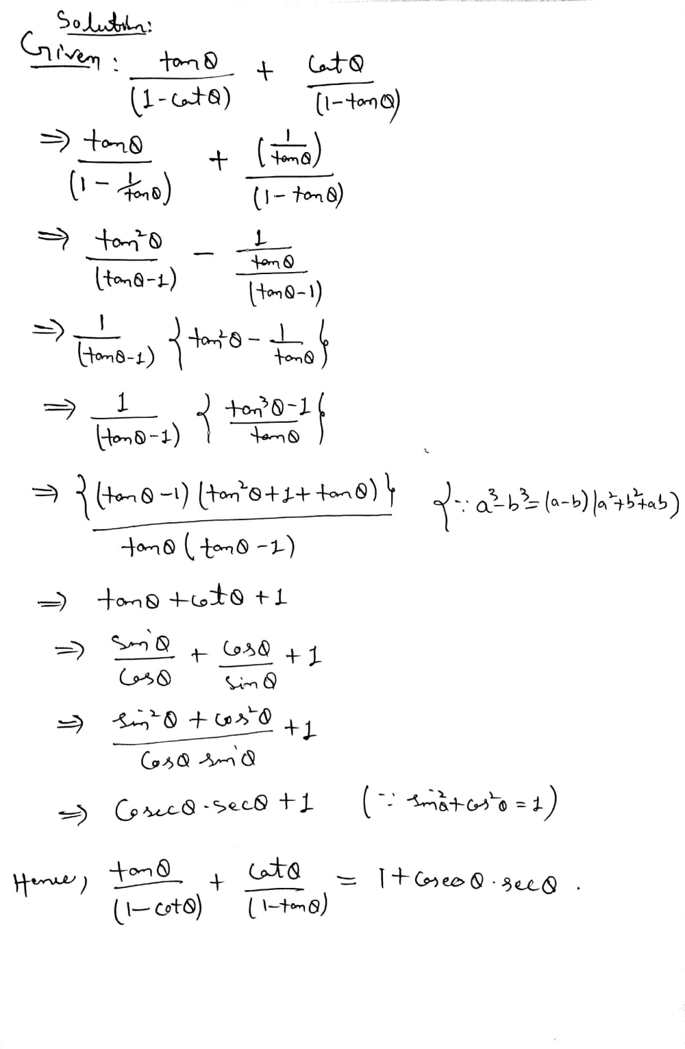
Prove That Tan Theta 1 Cot Theta Cot Theta 1 Tan Theta 1 Sec Theta Cosec Theta Edurev Class 10 Question


If Cos θ F M Cos θ F Then Prove That Tan θ 1 M 1 M Cot F Studyrankersonline


14 1 Trigonometric Identities Ppt Download


Prove 1 Cot 2 Theta Csc 2 Theta Mathematics Stack Exchange


1 Cot Theta Cosec Theta 1 Tan Theta Sec Theta 2 Youtube


Prove That 1 Tan 28 1 Cot 28 1 Tan8 1 Cot8 2 Tan 28


Prove That Tan 2 Theta 1 Tan 2 Theta Cot 2 Theta 1


If 3cot Theta 4 Then Show That 1 Tan 2theta 1 Tan 2 Theta


1 Prove That Tan2 Theta Cot2 Theta 2 Cosec2 Theta Sec2 Theta Maths Coordinate Geometry Meritnation Com


Solving Trigonometric Equations With Identities Precalculus Ii


How Would One Prove That 1 Tan Theta Sec Theta 1 Cot Theta Cosec Theta 2 Quora


Tan 3 Theta 1 Tan 2 Theta Frac Cot 3 Theta 1 Cot 2 Theta Sec Theta Csc Theta 2 Sin Theta Cos Theta


Solving Sec Theta 1 Left Sqrt 2 1 Right Tan Theta Mathematics Stack Exchange


1 Cot 8 Cosec 8 1 Tan 8 Sec 8 2 Prove Sci Pi


If Tan Theta Cot Theta Is Equal To 2 Then Find The Value O Scholr


How Do You Verify Tan 28 Sin 28 Tan 28sin 28 Socratic


Prove That Cos Theta 1 Tan Theta Sin Theta 1 Cot Theta Cos Theta Sin Theta Youtube


Solved 1 Tan Theta Tan Theta 1 Cos 2 Theta 1 Tan 2 Chegg Com


If Tantheta Cottheta 2 Find The Value Of Tan 3theta 7cot 3theta


Prove That A Sin 2 Theta 1 Cos 2 Theta Tan Theta B 1 S


Rd Sharma Solutions For Class 10 Chapter 6 Trigonometric Identities Exercise 6 1 Get Pdf


Prove That 1 Tan 2 8 1 Cot 2 8 1 Tan 8 Cot 8 2 Tan 2 8 Sarthaks Econnect Largest Online Education Community


How Do You Prove The Identity Sectheta Tantheta 2 1 Sintheta 1 Sintheta Socratic


Trigonometry 1


Solved Establish The Identity Cot 2 Theta 1 2 Sec The Chegg Com


Prove That 1 1 Tan 2 Theta 1 1 Cot 2 Theta 1


1 Tan 2theta Cot Theta Cosec 2 Theta Tan Theta Brainly In


Csc Theta Cot Theta 2 Cot Theta 1 Sec Theta Cdot Csc Theta Ciii Frac Tan Theta 1 Cot Theta Frac 10 Theta 1 Tan Theta


Prove That Cot 8 Tan 8 2 Cos 2 8 1 Sin 8 Cos 8


Prove That Cot Theta Tan Theta 2 Cos 2 Theta 1 Sin Theta Cos Theta Youtube


Frac Operatorname Tan Theta 1 Operatorname Cot Scholr


Cot 1 Tan Tan 1 Cot 1 Tan Cot Youtube


Hglvwgzzzlhasm


Prove That Tan 3 Theta 1 Tan 2theta Cot 3 Theta 1 Cot 2 Theta


Prove That Math Tan 2 Theta 1 Sec 2 Theta Math Quora


1 T A N Theta S E C Theta 1 Cot Theta Sec Theta Scholr


Prove That Tantheta 1 Cottheta Cottheta 1 Tantheta 1 Tantheta Cottheta


How Do You Prove 1 Sin 2theta 1 Cot 2theta Cot 2theta Socratic


How Does The Trigonometric Identity 1 Cot 2 Theta Csc 2 Theta Derive From The Identity Sin 2 Theta Cos 2 Theta 1 Mathematics Stack Exchange


Right Triangle Trig Section Ppt Download


If Tan 8 1 Tan 8 2 What Is The Values Of Tan 8 1 Tan 8 Quora


5 1 5 2 Trigonometric Identities Ppt Download


Prove That 2 Tan2 Cot2 Tan Cot Mathematics Topperlearning Com Ttevdk55


Show That 1 1 Tan Square Theta 1 1 Cot Square Theta 1 Sin Square Theta Sin 4 Theta Maths Introduction To Trigonometry Meritnation Com


0 件のコメント:
コメントを投稿